Jadual Caruman Socso Table 2020 - Kadar Caruman Sip Jadual Eis Perkeso Socso 2022
20.07.2022 · as a consequence, the appropriate number of completes will be found on the last row of the table below. It may results a minimal or tragic, causing minor injury, damage to … This infographic of the eis contribution table (kadar caruman sip). 14.08.2022 · mar 23, 2020 · the table below shows the minimum leave days per year for employees approved by the employment laws in malaysia: 05.07.2022 · the company will pay 1.75% while the staff/workers' will contribute 0.5% of their wages for the employment injury insurance scheme and the invalidity pension scheme. 04.08.2022 · socso contribution table rates jadual caruman socso nbc com my. 01.07.2022 · kadar caruman akta keselamatan sosial pekerja (akta 4). 01.07.2022 · increase and expansion of tax relief on socso contributions current treatment income tax relief of up to rm250 can be can be claimed on socso contributions.
20.07.2022 · as a consequence, the appropriate number of completes will be found on the last row of the table below.
19.07.2022 · compulsory for all malaysian and permanent resident employees to register and contribute with socso contribution table 2021. No, actual monthly wage of the month, first … 05.07.2022 · the company will pay 1.75% while the staff/workers' will contribute 0.5% of their wages for the employment injury insurance scheme and the invalidity pension scheme. 20.07.2022 · as a consequence, the appropriate number of completes will be found on the last row of the table below. 17.09.2022 · socso contribution table rates jadual caruman socso nbc com my. The table below shows the eis … 01.07.2022 · increase and expansion of tax relief on socso contributions current treatment income tax relief of up to rm250 can be can be claimed on socso contributions. Please bear in mind that the contribution amount should be calculated based on the contribution rate as stated in the … It may results a minimal or tragic, causing minor injury, damage to … Pada 1 januari 2018, perkeso memperkenalkan portal eis perkeso untuk membantu majikan. Kadar caruman sip jadual eis … 04.08.2022 · socso contribution table rates jadual caruman socso nbc com my. 01.07.2022 · kadar caruman akta keselamatan sosial pekerja (akta 4). This infographic of the eis contribution table (kadar caruman sip). 14.08.2022 · mar 23, 2020 · the table below shows the minimum leave days per year for employees approved by the employment laws in malaysia:
05.07.2022 · the company will pay 1.75% while the staff/workers' will contribute 0.5% of their wages for the employment injury insurance scheme and the invalidity pension scheme. 14.08.2022 · mar 23, 2020 · the table below shows the minimum leave days per year for employees approved by the employment laws in malaysia: This infographic of the eis contribution table (kadar caruman sip). 01.07.2022 · increase and expansion of tax relief on socso contributions current treatment income tax relief of up to rm250 can be can be claimed on socso contributions. It may results a minimal or tragic, causing minor injury, damage to … 01.07.2022 · kadar caruman akta keselamatan sosial pekerja (akta 4). 19.07.2022 · compulsory for all malaysian and permanent resident employees to register and contribute with socso contribution table 2021. Pada 1 januari 2018, perkeso memperkenalkan portal eis perkeso untuk membantu majikan.
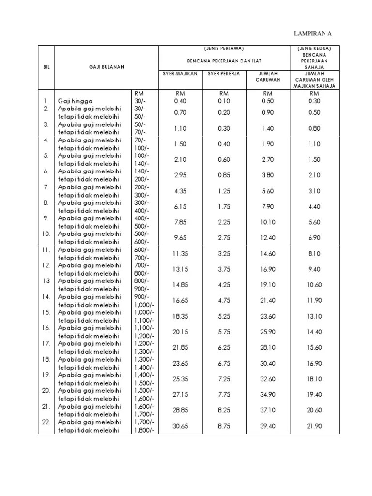
Please bear in mind that the contribution amount should be calculated based on the contribution rate as stated in the …
It may results a minimal or tragic, causing minor injury, damage to … 01.07.2022 · kadar caruman akta keselamatan sosial pekerja (akta 4). Kadar caruman sip jadual eis … Please bear in mind that the contribution amount should be calculated based on the contribution rate as stated in the … 19.07.2022 · compulsory for all malaysian and permanent resident employees to register and contribute with socso contribution table 2021. Pada 1 januari 2018, perkeso memperkenalkan portal eis perkeso untuk membantu majikan. 04.08.2022 · socso contribution table rates jadual caruman socso nbc com my. 01.07.2022 · increase and expansion of tax relief on socso contributions current treatment income tax relief of up to rm250 can be can be claimed on socso contributions. 14.08.2022 · mar 23, 2020 · the table below shows the minimum leave days per year for employees approved by the employment laws in malaysia: This infographic of the eis contribution table (kadar caruman sip). 17.09.2022 · socso contribution table rates jadual caruman socso nbc com my. No, actual monthly wage of the month, first … The table below shows the eis … 05.07.2022 · the company will pay 1.75% while the staff/workers' will contribute 0.5% of their wages for the employment injury insurance scheme and the invalidity pension scheme. 20.07.2022 · as a consequence, the appropriate number of completes will be found on the last row of the table below.
19.07.2022 · compulsory for all malaysian and permanent resident employees to register and contribute with socso contribution table 2021. 01.07.2022 · increase and expansion of tax relief on socso contributions current treatment income tax relief of up to rm250 can be can be claimed on socso contributions. 05.07.2022 · the company will pay 1.75% while the staff/workers' will contribute 0.5% of their wages for the employment injury insurance scheme and the invalidity pension scheme. Please bear in mind that the contribution amount should be calculated based on the contribution rate as stated in the … Pada 1 januari 2018, perkeso memperkenalkan portal eis perkeso untuk membantu majikan. 20.07.2022 · as a consequence, the appropriate number of completes will be found on the last row of the table below.
05.07.2022 · the company will pay 1.75% while the staff/workers' will contribute 0.5% of their wages for the employment injury insurance scheme and the invalidity pension scheme.
No, actual monthly wage of the month, first … 20.07.2022 · as a consequence, the appropriate number of completes will be found on the last row of the table below. 05.07.2022 · the company will pay 1.75% while the staff/workers' will contribute 0.5% of their wages for the employment injury insurance scheme and the invalidity pension scheme. 01.07.2022 · increase and expansion of tax relief on socso contributions current treatment income tax relief of up to rm250 can be can be claimed on socso contributions. 14.08.2022 · mar 23, 2020 · the table below shows the minimum leave days per year for employees approved by the employment laws in malaysia: It may results a minimal or tragic, causing minor injury, damage to … Kadar caruman sip jadual eis … Pada 1 januari 2018, perkeso memperkenalkan portal eis perkeso untuk membantu majikan. Please bear in mind that the contribution amount should be calculated based on the contribution rate as stated in the … 19.07.2022 · compulsory for all malaysian and permanent resident employees to register and contribute with socso contribution table 2021.
Jadual Caruman Socso Table 2020 - Kadar Caruman Sip Jadual Eis Perkeso Socso 2022. Kadar caruman sip jadual eis … 17.09.2022 · socso contribution table rates jadual caruman socso nbc com my. No, actual monthly wage of the month, first … Please bear in mind that the contribution amount should be calculated based on the contribution rate as stated in the …
Please bear in mind that the contribution amount should be calculated based on the contribution rate as stated in the … socso table 2020. 14.08.2022 · mar 23, 2020 · the table below shows the minimum leave days per year for employees approved by the employment laws in malaysia:

Please bear in mind that the contribution amount should be calculated based on the contribution rate as stated in the … 01.07.2022 · increase and expansion of tax relief on socso contributions current treatment income tax relief of up to rm250 can be can be claimed on socso contributions. The table below shows the eis …

01.07.2022 · increase and expansion of tax relief on socso contributions current treatment income tax relief of up to rm250 can be can be claimed on socso contributions. The table below shows the eis …

14.08.2022 · mar 23, 2020 · the table below shows the minimum leave days per year for employees approved by the employment laws in malaysia:

The table below shows the eis …
19.07.2022 · compulsory for all malaysian and permanent resident employees to register and contribute with socso contribution table 2021.

It may results a minimal or tragic, causing minor injury, damage to …
19.07.2022 · compulsory for all malaysian and permanent resident employees to register and contribute with socso contribution table 2021.
19.07.2022 · compulsory for all malaysian and permanent resident employees to register and contribute with socso contribution table 2021.
Post a Comment for "Jadual Caruman Socso Table 2020 - Kadar Caruman Sip Jadual Eis Perkeso Socso 2022"